Medizintechnik

Erkennung des fehlerhaften Verhaltens eines Biosensors

Aufgabenstellung

Bei einem medizinischen Messsystem wird mit Hilfe von Elektroden eine elektrochemische Reaktion gemessen. Diese Sensoren zeigten während klinischer Tests Probleme, die zu Fehlmessungen führen könnten und die daher in Zukunft durch die Software des Messsystems erkannt werden müssen. Im Rahmen dieses Projektes wurden Methoden entwickelt, um in Signalverlauf des Sensors Anzeichen für das Auftreten dieser Fehler rechtzeitig zu erkennen. Dadurch können fehlerhafte Sensoren außer Betrieb genommen werden, bevor es überhaupt zu Fehlmessungen kommen kann.

Lösungsweg

  • komplexe Zeitreihen- und Korrelationsanalysen
  • Entwicklung von Kriterien zur Erkennung fehlerhafter Kurvenverläufe
  • Vorentwicklung der Algorithmen in Matlab
  • Parameteroptimierung für die Modelle
  • Implementierung der Signalverarbeitungsmodelle in Simulink

Ergebnis

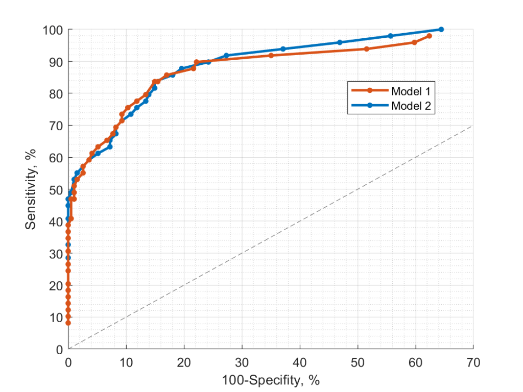
Die Abbildung zeigt die ROC Kurve für eine der entwickelte Fehlererkennungsmechanismen. Hierfür wurden zwei Modellen vorgeschlagen. Für jeden Parametersatz der Modelle kann einen Punkt (Sensitivität – Spezifität Paar) des Graphiks berechnet werden.

Projektteam

Dr. Irina Ostapenko – Algorithmen, Datenanalyse und Organisation

Dr. Irina Ostapenko

Algorithmen, Datenanalyse und Organisation

Dr. Momme Winkelnkemper

Algorithmen, Datenanalyse und Modellierung

Dr. Momme Winkelnkemper –  Algorithmen, Datenanalyse und Modellierung